Artículos
Manejo en bandas cada 3 semanas: una alternativa para la gestión de granjas pequeñas y medianas
06 May 2016Es un sistema que permite distribuir de mejor forma las tareas en granjas pequeñas y medianas, pues se sincronizan las nulíparas para que sean cubiertas cada 3 semanas, de esta forma se logran destetes con mayor cantidad de lechones dentro de una misma semana, reduciendo espacio y recursos humanos.

Artículo de Reinaldo Cubillos G., Veterinario. Máster en Sanidad y Producción Porcina. Coach profesional, Director Consultora SwineAdvisor, Chile.
Todo nuevo productor de cerdos antes de iniciar su proyecto porcino, tiene dudas sobre cómo va a planificar los flujos de sus reproductoras. Muchos de ellos, sobre todo aquellos que son nuevos en el rubro, se preguntan cómo deben dimensionar las instalaciones para sacarles el máximo potencial y amortizarlas lo antes posible.
En aquellos sistemas medianos y pequeños, es decir, granjas menores a las 300 cerdas, planificar una granja con flujos o bandas semanales, sería un decisión que tendría mayores gastos de recursos humanos e inversiones.
¿Cómo es un sistema de banda de 3 semanas?
Es un sistema que permite distribuir de mejor forma las tareas en granjas pequeñas y medianas, pues se sincronizan las nulíparas para que sean cubiertas cada 3 semanas, de esta forma se logran destetes con mayor cantidad de lechones dentro de una misma semana, reduciendo espacio y recursos humanos.
¿Cómo se calculan bandas cada 3 semanas?
Si una cerda posee un ciclo reproductivo de 21 semanas (114 días gestación + 28 días lactancia + 5 días destete-celo) para que tenga un ciclo ordenado cada 3 semanas deben existir en el sistema 7 bandas o flujos de cerdas cada 3 semanas.

Este sistema de gestión posee ventajas y desventajas, las cuales son mencionadas a continuación.
Ventajas
- Manejo uniforme de los lotes de producción, utilizando animales en la misma fase y edad de producción.
- Como es un manejo a 3 semanas, coincide con la duración del ciclo estral de la cerda (21 días) por lo que el manejo de las repeticiones cíclicas es muy fácil.
- Presenta una mayor organización del trabajo.
- Permite una mayor especialización ya que se concentra el trabajo.
- Se podrán planificar con antelación las vacaciones del personal.
- Los trabajadores de las diferentes áreas pueden ayudarse entre ellos al no coincidir temporalmente su trabajo, pues en la primera semana se desteta, en la segunda se realizan las cubriciones y el tercera semana se atienden los partos, y así sucesivamente.
- Se utiliza manejo “todo dentro-todo fuera”, por lo que se respetan los vacíos sanitarios.
- No hay mezcla de lechones de diferentes edades de manera que evitamos ciertas enfermedades.
- La organización de los programas de vacunación es más fácil, por lo que aumenta la eficiencia.
- Como los lechones son destetados más tardíamente, mejora la adaptación en la fase de recría con lo que mejorará el índice de conversión (IC) y la ganancia media diaria (GMD).
- Se podrá comercializar mejor debido a que los lotes de lechones son más grandes y más homogéneos.
Desventajas
- Hay un menor número de rotaciones de las instalaciones.
- Las cerdas con repeticiones acíclicas quedan fuera del lote de banda, por lo que habrá que introducirlas en la siguiente.
- Se necesita una programación exhaustiva de la introducción de las cerdas de reposición.
- Hay un descenso de la producción en los primeros 6 meses hasta que las cerdas quedan agrupadas en cada banda (si lo hacemos a partir de una granja ya en funcionamiento), lo que conlleva un aumento de los días no productivos al principio.
Caso práctico
Para ejemplificar de mejor forma este sistema de manejo, vamos a planificar una granja de 300 cerdas reproductoras. Si anteriormente se mencionó que el sistema en banda a 3 semanas debe poseer 7 bandas o flujos, la cantidad de cerdas por banda será de:
1. Cálculo de instalaciones
Maternidad
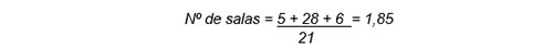
Para calcular el número de salas de maternidad se debe realizar la siguiente fórmula:
- Adaptación: es el tiempo que necesita la cerda en el preparto, para adaptarse a las nuevas condiciones de la sala. Duración 5 días.
- Lactación: es el tiempo en la cerda brinda la leche a sus lechones. Duración de 28 días.
- Vacío sanitario: tiempo que estará la sala vacía para su lavado, desinfección y secado. Duración de 6 días.
- Intervalo: será el tiempo entre dos bandas, o sea 21 días.
De esta forma, el cálculo sería;

Gestación
En la gestación existen 2 etapas para calcular las instalaciones; la unidad de cubrición-control y la unidad de gestación confirmada.
Las plazas en la unidad de cubrición-control se calcularán dependiendo de la fertilidad que posea la explotación. Si imaginamos una fertilidad de 90%, los cálculos serán los siguientes:
48 cerdas deberemos cubrir para asegurarnos 43 partos en cada banda.
Para el cálculo de las salas de cubrición-control debemos realizar el siguiente cálculo;
La unidad de cubrición-control debe tener 2 salas de 48 plazas cada una. Para alojar las cerdas desde la cubrición hasta los 28 días de gestación.
Las plazas de gestación confirmada serán las siguientes:
La unidad gestación confirmada debe tener 4 salas de 48 plazas cada una. Para alojar las cerdas desde la confirmación de su gestación hasta los 7 días antes del parto.
Recría
Después de 28 días de lactancia en los lechones, se realiza el destete, donde las madres pasarán a la zona de gestación (cubrición-control) y los lechones pasarán a la zona de recría. La permanencia de los lechones en esta etapa será de 35 días.
Para establecer el número de salas y plazas de la unidad de recría, es preciso establecer la prolificidad que tendrá la granja. Actualmente las líneas maternas están pariendo alrededor de 14 lechones nacidos vivos y están destetando alrededor de 12 a 13 lechones. Para este caso práctico vamos a establecer un total de 14 lechones nacidos vivos (LNV) y 12,5 lechones destetados.
Para determinar el numero de salas en recría, debemos sumar la cantidad de días de permanencia más los días de vacío sanitario que debe tener la instalación. Todo lo anterior dividido por el lapso de tiempo entre cada banda.
Nº de salas para recría: 35 días permanencia + 7 días vacío sanitario / 21 = 2 salas
Como tenemos 43 partos con un promedio de 12,5 lechones al destete, tendremos 537,5 lechones por banda. Al tener dos salas el número total de plazas será;
Nº total de plazas en recría: 516 x 2 = 1075 plazas.
La unidad de recría debe tener 2 salas de 516 plazas cada una para alojar los cerdos de recría.

Engorda
Después del periodo de recría, los cerdos pasarán a la unidad de engorda, donde se mantendrán el resto del tiempo hasta la venta. Los cerdos irán a matadero con 110-120 Kg. de peso vivo y con 185 días de vida, lo que significa que estarán en engorda durante 119 días.
Para calcular el número de salas en engorda, haremos lo mismo que para la recría, es decir, dividiremos el tiempo de permanencia en engorda y vacío sanitario por el intervalo entre bandas. Por tanto los cálculos serían:
Nº salas para engorda: 119 días permanencia + 7 días vacío sanitario / 21 = 6 salas
Nº total de plazas en engorda: 537,5 x 6 = 3225
Organización semanal
Una de las grandes ventajas de este sistema de manejo es que las labores de manejo pueden ser compartidas de forma semanal, de esta forma se reduce de forma significativa el número de personas que trabajan en la granja. A continuación se muestra una tabla que define los principales manejos semanales:

Establecer un sistema de bandas cada 3 semanas es una alternativa viable para un productor de cerdos pequeño y/o mediano. Su elección conlleva una análisis muy correcto de la cantidad de salas y plazas para alojar los cerdos, así también de las tareas en el momento oportuno y de esa forma cumplir con la sincronización de las bandas.
También le interesaría
Un caso de campo: uso del ecógrafo para la reducción de los días no productivos
Mayo 2016
